ACCIÓN SINÉRGICA DEL ÁCIDO INDOL BUTÍRICO Y UNA RIZOBACTERIA, EN LA FITOEXTRACCIÓN ASISTIDA DE ARSÉNICO Y CADMIO POR Sedum praealtum A. DC.
Palabras clave:
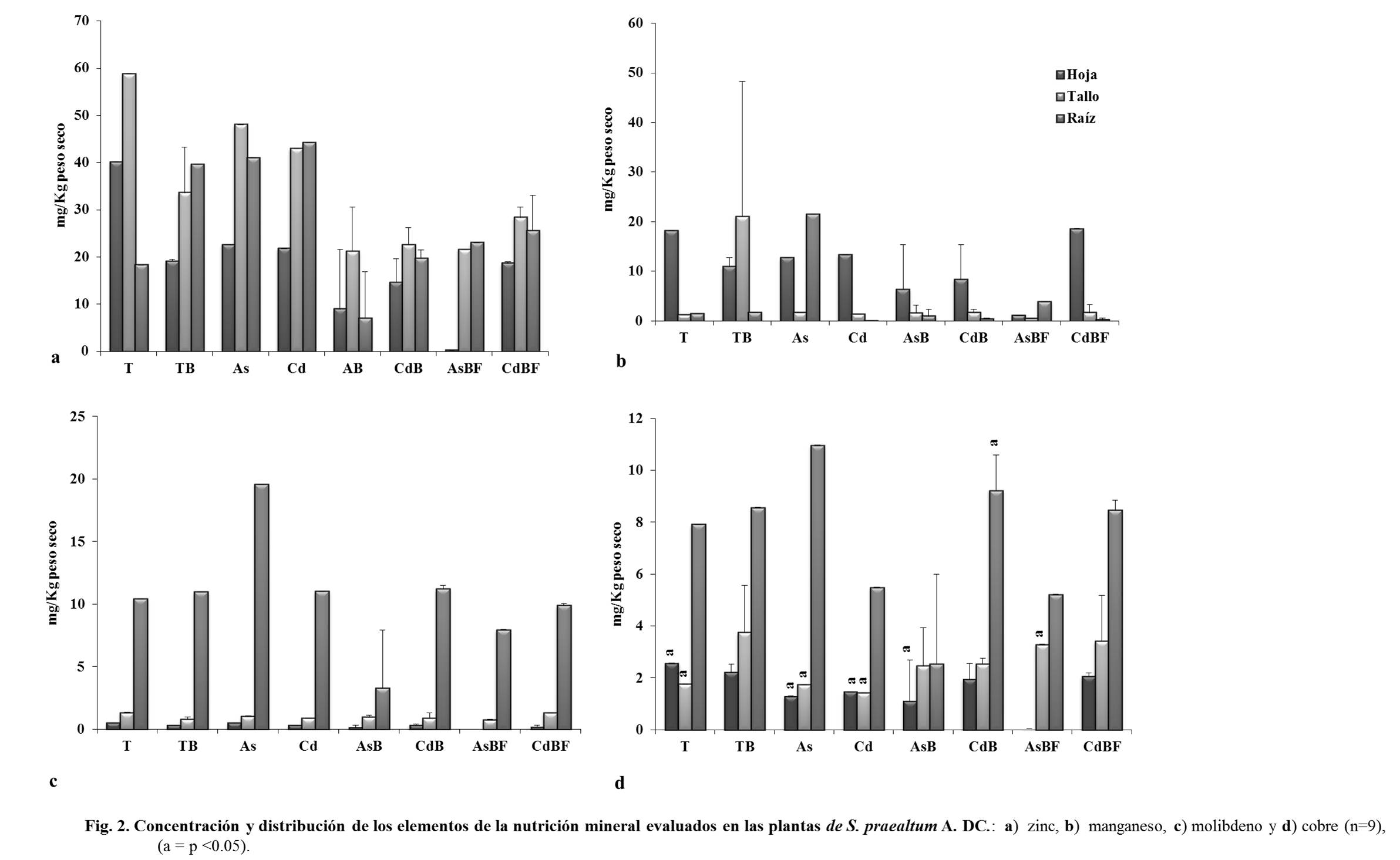
Fitoextracción asistida, Sedum praealtum A. DC., arsénico, cadmioResumen
La fitoextracción asistida implica la participación de especies vegetales y agentes suplementarios (aditivos químicos o biológicos) que incrementan la biodisponibilidad de los contaminantes y su acumulación. El empleo de reguladores del crecimiento vegetal (fitohormonas) crea un efecto neutral por estrés ocasionado por los metales en las plantas y favorecen su desarrollo. El presente trabajo evaluó el efecto de la relación sinérgica entre Sedum praealtum A. DC.- rizobacterias-fitohormonas, como alternativa de fitoextracción asistida combinada de arsénico y cadmio. La presencia de arsénico y cadmio en el crecimiento de S. praealtum A. DC. evidenció un daño en su desarrollo; pero la adición de ambos agentes quelantes resultó eficiente no solamente al facilitar la biodisponibilidad de estos metales para ser absorbidos por las plantas; sino también para demostrar la acción sinérgica que se estableció entre la rizobacteria, la fitohormona y las plantas de esta especie al potenciar su crecimiento radical que favoreció la absorción de los nutrientes evaluados.
Referencias
Appenroth, K.J., 2010. "Definition of "heavy metals" and their role in biological systems". En: Sherameti I. y A. Varma (eds.) Soil Heavy Metals. Springer, Berlin – Heidelberg.
https://doi.org/10.1007/978-3-642-02436-8_2
Arasimowicz-Jelonek, M.; J. Floryszak-Wieczorek y E.A. Gwozdz, 2011. "The message of nitric oxide in cadmium challenged plants". Plant Sci., 181: 612-620.
https://doi.org/10.1016/j.plantsci.2011.03.019
PMid:21893258
Arteca, R.N.,1996. "Plant Growth Substances". Chapman and Hall, New York.
https://doi.org/10.1007/978-1-4757-2451-6
Barbafieri, M. y E. Tassi, 2011. "Brassinosteroids for phytoremediation application". En: Hayat S. y A. Ahmad (eds.). Brassinosteroids: a Class of Plant Hormones. Springer, Berlin
https://doi.org/10.1007/978-94-007-0189-2_16
Bulak, P.; A. Walkiewicz y M. Brzeziṅska, 2014. "Plant growth regulators-assisted phytoextraction". Biol. Plantarum, 58: 1-8.
https://doi.org/10.1007/s10535-013-0382-5
Cabello-Conejo, M.I.; Á. Prieto-Fernández y P.S. Kidd, 2014. "Exogenous treatments with phytohormones can improve growth and nickel yield of hyperaccumulating plants". Sci. Total Environ., 1-8: 494-495.
Ghosh, P.; B. Rathinasabapathi y L.Q. Ma, 2011. "Arsenic-resistant bacteria solubilized arsenic in the growth media and increased growth of arsenic hyperaccumulator Pteris vittata L.". Bioresour. Technol., 102: 8756-8761.
https://doi.org/10.1016/j.biortech.2011.07.064
PMid:21840210
Gosh, M. y S.P. Singh, 2005. "A review of phytoremediation of heavy metals and utilization of its byproducts". Appl. Ecol. Environ. Res., 3: 1-18.
https://doi.org/10.15666/aeer/0301_001018
Iqbal, N.; A. Trivellini, A. Masood, A. Ferrante y N.A. Khan, 2013. "Current understanding on ethylene signaling in plants: the influence of nutrient availability". Plant Physiol. Biochem., 73: 128-138.
https://doi.org/10.1016/j.plaphy.2013.09.011
PMid:24095919
Israr, M.; A. Jewell, D. Kumar y S.V. Sahi, 2011. "Interactive effects of lead, copper, nickel and zinc on growth, metal uptake and antioxidative metabolism of Sesbania drummondii". J. Hazard. Mater., 186: 1520-1526.
https://doi.org/10.1016/j.jhazmat.2010.12.021
PMid:21216094
Kabata-Pendias, A., 2011. "Trace Elements in Soils and Plants". CRC Press, Boca Raton - London -New York.
Khan, M.I.R. y N.A. Khan, 2014. "Ethylene reverses photosynthetic inhibition by nickel and zinc in mustard through changes in PS II activity, photosynthetic nitrogen use efficiency, and antioxidant metabolism". Protoplasma, 251:1007-1019.
https://doi.org/10.1007/s00709-014-0610-7
PMid:24477804
Liphadzi, M.S.; M.B. Kirkham y G.M. Paulsen, 2006. "Auxin enhanced root growth for phytoremediation of sewage sludge amended soil". Environ. Technol., 27: 695-704.
https://doi.org/10.1080/09593332708618683
PMid:16865925
Lippmann, B.; V. Leinhos y H. Bergmann, 1995. "Influence of auxin producing rhizobacteria on root morphology and nutrient accumulation of crops. 1. Changes in root morphology and nutrient accumulation in maize (Zea mays L.) caused by inoculation with indole-3-acetic acid (IAA) producing Pseudomonas and Acinetobacter strains or IAA applied exogenously". Angewandte Botanik, 69: 31-36.
Ludwig-Müller, J., 2000. "Indole-3-butyric acid in plant growth and development". Plant Growth Regul., 32: 219-230.
https://doi.org/10.1023/A:1010746806891
Ludwig-Müller, J. y E. Epstein, 1991. "Occurrence and in vivo biosynthesis of indole-3- butyric acid in corn (Zea mays L.)". Plant Physiol., 97: 765-770.
https://doi.org/10.1104/pp.97.2.765
PMid:16668464 PMCid:PMC1081072
Ma, Y.; M. Rajkumar y H. Freitas, 2009. "Improvement of plant growth and nickel uptake by nickel resistant-plant growth promoting bacteria". J. Hazard. Mater., 166: 1154-1161.
https://doi.org/10.1016/j.jhazmat.2008.12.018
PMid:19147283
Ma, Y.; M.N.V. Prasad, M. Rajkumar y H. Freitas, 2011. "Plant growth promoting rhizobacteria and endophytes accelerate phytoremediation of metalliferous soils". Biotechnol. Adv., 29: 248-258.
https://doi.org/10.1016/j.biotechadv.2010.12.001
PMid:21147211
Ma, Y.; M. Rajkumar, Y. Luo y H. Freitas, 2013. "Phytoextraction of heavy metal polluted soils using Sedum plumbizincicola inoculated with metal mobilizing Phyllobacterium myrsinacearum RC6b". Chemosphere, 93: 1386-1392.
https://doi.org/10.1016/j.chemosphere.2013.06.077
PMid:23890964
Masood, A.; N. Iqbal y N.A. Khan, 2012. "Role of ethylene in alleviation of cadmium-induced photosynthetic capacity inhibition by sulphur in mustard". Plant Cell Environ., 35: 524-533.
https://doi.org/10.1111/j.1365-3040.2011.02432.x
PMid:21950968
Melo, M.R.; N.R. Flores, S.V. Murrieta, A.R. Tovar, A.G. Zú-iga, O.F. Hernández, A.P. Mendoza, N.O. Pérez y A.R. Dorantes, 2011. "Comparative plant growth promoting traits and distribution of rhizobacteria associated with heavy metals in contaminated soils". Int. J. Environ. Sci. Tech., 8: 807-816.
https://doi.org/10.1007/BF03326264
Mengel, K. y A. Kirkby, 2001. "Principles of Plant Nutrition". Kluwer Academic Publishers, Dordrecht.
https://doi.org/10.1007/978-94-010-1009-2
PMCid:PMC1907351
Miransari, M., 2011. "Hyperaccumulators, arbuscular mycorrhizal fungi and stress of heavy metals". Biotechnol. Adv., 29: 645-653.
https://doi.org/10.1016/j.biotechadv.2011.04.006
PMid:21557996
Ouzounidou, G. y I. Ilias, 2005. "Hormone-induced protection of sunflower photosynthetic apparatus against copper toxicity". Biol. Plantarum, 49: 233-228.
https://doi.org/10.1007/s10535-005-3228-y
Piotrowska-Niczyporuk, A.; A. Bajguz, E. Zambrzycka y B. Godlewska-Zylkiewicz, 2012. "Phytohormones as regulators of heavy metal biosorption and toxicity in green alga Chlorella vulgaris (Chlorophyceae)". Plant Physiol. Biochem., 52: 52-65.
https://doi.org/10.1016/j.plaphy.2011.11.009
PMid:22305067
Prapagdee, B.; M. Chanprasert y S. Mongkolsuk, 2013. "Bioaugmentation with cadmium-resistant plant growth-promoting rhizobacteria to assist cadmium phytoextraction by Helianthus annuus". Chemosphere, 92: 659-66.
https://doi.org/10.1016/j.chemosphere.2013.01.082
PMid:23478127
Rashotte, A.M.; J. Poupart, C.S. Waddell y G.K. Muday, 2003. "Transport of the two natural auxins, indole-3-butyric acid and indole-3-acetic acid, in Arabidopsis". Plant Physiol., 133: 761-772.
https://doi.org/10.1104/pp.103.022582
PMid:14526119 PMCid:PMC219050
Rajkumar, M.; Y. Ma y H. Freitas, 2008. "Characterization of metal-resistant plant growth promoting Bacillus weihenstephanensis isolated from serpentine soil in Portugal". J. Basic Microbiol., 48: 1-9.
https://doi.org/10.1002/jobm.200800073
PMid:18785659
Rajkumar, M.; S. Sandhya, M.N.V. Prasad y H. Freitas, 2012. "Perspectives of plant associated microbes in heavy metal phytoremediation". Biotechnol. Adv., 30: 1562-1574.
https://doi.org/10.1016/j.biotechadv.2012.04.011
PMid:22580219
Rajkumar, M.; M.N.V. Prasad, S. Sandhya y H. Freitas, 2013. "Climate change driven plant-metal-microbe interactions". Environ. Int., 53: 74-86.
https://doi.org/10.1016/j.envint.2012.12.009
PMid:23347948
Ramírez-Melo, M.; N. Ruíz-Flores, S. Vásquez-Murrieta, A. Rodriguez-Tovar, A. Guerrero-Zú-iga y A. Rodríguez-Dorantes, 2013. "Plant growth promotion and protecting effect to heavy metals of rhizobacteria on inoculated Lens esculenta seeds". Int. J. of AgriScience, 3: 414-422.
Rashotte, A.M.; J. Poupart, C.S. Waddell y G.K. Muday, 2003. "Transport of the two natural auxins, indole-3-butyric acid and indole-3-acetic acid, in Arabidopsis". Plant Physiol., 133: 761-772.
https://doi.org/10.1104/pp.103.022582
PMid:14526119 PMCid:PMC219050
Rojas Contreras, A.; A. M. Rodríguez Dorantes, S. Montes Villafán, S. Pérez Jiménez, A. Rodríguez Tovar y L.A. Guerrero Zú-iga, 2010. "Evaluación de la promoción del crecimiento de Cynodon dactylon L. por rizobacterias productoras de fitohormonas aisladas de un suelo contaminado con hidrocarburos derivados del petróleo". Polibotánica, 29: 131-147.
Sheng, X.F. y J.J. Xia, 2006. "Improvement of rape (Brassica napus) plant growth and cadmium uptake by cadmium-resistant bacteria". Chemosphere, 64: 1036-1042.
https://doi.org/10.1016/j.chemosphere.2006.01.051
PMid:16516946
Sheng, X.F.; L.Y. He, Q.Y. Wang, H.S. Ye y C. Jiang, 2008. "Effects of inoculation of biosurfactant producing Bacillus sp. J119 on plant growth and cadmium uptake in a cadmium amended soil". J. Hazard. Mater., 155: 17-22.
https://doi.org/10.1016/j.jhazmat.2007.10.107
PMid:18082946
Vamerali, T.; M. Bandiera, W. Hartley, P. Carletti y G. Mosca, 2011. "Assisted phytoremediation of mixed metal (loid)-polluted pyrite waste: effects of foliar and substrate IBA application on fodder radish". Chemosphere, 84: 213-219.
https://doi.org/10.1016/j.chemosphere.2011.04.052
PMid:21570105
Vásquez, M.S.; G.I. Migueles, H.O. Franco, B. Govaerts y L. Dendooven, 2006. "C and N mineralization and microbial biomass in heavy metal-contaminated soil". Eur. J. Soil Biol., 42: 89-98.
https://doi.org/10.1016/j.ejsobi.2005.10.002
Verbruggen, N.; C. Hermans y H. Schat, 2009. "Molecular mechanisms of metal hyperaccumulation in plants". New. Phytol., 181: 759-776.
https://doi.org/10.1111/j.1469-8137.2008.02748.x
PMid:19192189
Yang, X.; Y. Feng, Z. He y P.J. Stoffella, 2005. "Molecular mechanisms of heavy metal hyperaccumulation and phytoremediation". J. Trace Element Med. Biol., 18: 339-353.
https://doi.org/10.1016/j.jtemb.2005.02.007
PMid:16028496
Zenk, M.H., 1996. "Heavy metal detoxification in higher plants: a review". Gene, 179: 21-30.
Descargas
Archivos adicionales
Publicado
Número
Sección
Licencia
Polibotánica por Departamento de Botánica de la Escuela Nacional de Ciencias Biológicas del Instituto Politécnico Nacional se distribuye bajo una Licencia Creative Commons Atribución-NoComercial-CompartirIgual 4.0 Internacional.

















